Je cherche des livres, documents, chaîne n'importe quoi pour m'améliorer en mathématiques.
J'ai un niveau lycée bac s en gros et je veux m'améliorer vous me conseillez quoi ?
Merci _.gif)
Le 10 avril 2018 à 22:06:04 Rk1napalm a écrit :
Je cherche des livres, documents, chaîne n'importe quoi pour m'améliorer en mathématiques.J'ai un niveau lycée bac s en gros et je veux m'améliorer vous me conseillez quoi ?
Merci
Personnellement j'ai quelques livres d'analyse et topologie de chez Springer, et un livre de géométrie différentielle de Spivak.
Si tu comprends l'anglais je te les conseille.
Je te recommande de commencer avec des notions d'analyse réelle et de théorie des ensembles avant d'envisager la topologie, l'étude des variétés et la géométrie différentielle.
Tu peux aussi te procurer des pdfs d'algebre abstraite (ou autre domaine).
Quelle branche des mathématiques te plaît le +?
J'ai trouvé ma réponse et non c'était pas une question d'intervalle, mais de continuité.
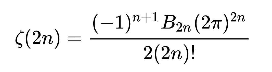
+ Pour le khey qui a posté l'image, le zêta correspond bien à la fonction de Riemann, et le B à la suite de Bernoulli ?
Le 10 avril 2018 à 22:13:58 Aleph272 a écrit :
Le 10 avril 2018 à 22:06:04 Rk1napalm a écrit :
Je cherche des livres, documents, chaîne n'importe quoi pour m'améliorer en mathématiques.J'ai un niveau lycée bac s en gros et je veux m'améliorer vous me conseillez quoi ?
Merci
Personnellement j'ai quelques livres d'analyse et topologie de chez Springer, et un livre de géométrie différentielle de Spivak.
Si tu comprends l'anglais je te les conseille.
Je te recommande de commencer avec des notions d'analyse réelle et de théorie des ensembles avant d'envisager la topologie, l'étude des variétés et la géométrie différentielle.
Tu peux aussi te procurer des pdfs d'algebre abstraite (ou autre domaine).
Quelle branche des mathématiques te plaît le +?
Le 10 avril 2018 à 22:13:58 Aleph272 a écrit :
Le 10 avril 2018 à 22:06:04 Rk1napalm a écrit :
Je cherche des livres, documents, chaîne n'importe quoi pour m'améliorer en mathématiques.J'ai un niveau lycée bac s en gros et je veux m'améliorer vous me conseillez quoi ?
Merci
Personnellement j'ai quelques livres d'analyse et topologie de chez Springer, et un livre de géométrie différentielle de Spivak.
Si tu comprends l'anglais je te les conseille.
Je te recommande de commencer avec des notions d'analyse réelle et de théorie des ensembles avant d'envisager la topologie, l'étude des variétés et la géométrie différentielle.
Tu peux aussi te procurer des pdfs d'algebre abstraite (ou autre domaine).
Quelle branche des mathématiques te plaît le +?
Déjà faut connaître les bases avant de se généraliser, je vois mal l'utilité sinon
Je me permet de up il y a peut-être encore des khey talentueux
Voilà j'ai un dm sur un nouveau chapitre et c'est vraiment hard pour moi
, je dois résoudre : x^3=6x + 20
J'en suis arrivé à :
u^3 + v^3 + 3uv (u + v) - 6 (u + v) = 20
Je n'arrive pas à faire la suite, si des khey je veux bien un peu d'aide _.gif)
Le 09 septembre 2018 à 15:29:37 Underhipper33 a écrit :
Je me permet de up il y a peut-être encore des khey talentueuxVoilà j'ai un dm sur un nouveau chapitre et c'est vraiment hard pour moi
, je dois résoudre : x^3=6x + 20
J'en suis arrivé à :
u^3 + v^3 + 3uv (u + v) - 6 (u + v) = 20Je n'arrive pas à faire la suite, si des khey je veux bien un peu d'aide
Quel niveau ?
Afficher uniquement les messages de l'auteur du topic