Topic de TitouanColossal :

Chat gpt c'est de la merde putain :rire:

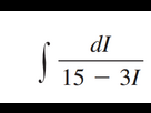
J'ai tenté de lui faire résoudre l'intégrale de 1 / (15 / 3*i). Il a jamais réussi à la résoudre ayaaa https://image.noelshack.com/fichiers/2021/04/4/1611841177-ahiahiahi.png
Premier essai: il considère que i est une constante
Deuxième essai: il considère i comme un nombre complexe
Troisième essai: il considère i comme une constante https://image.noelshack.com/fichiers/2020/08/6/1582385461-boucle-temporelle-jesus.jpg
C'est ça la fameuse ia qui va gr tous les dev qui sait même pas résoudre une intégrale ? https://image.noelshack.com/fichiers/2017/18/1494048058-pppppppppppppppppppp.png
C'est naze pour le moment, mais les I.A ont un grand potentiel pour dans quelques années
ChatGPT n'est pas vraiment un outil fait pour calculer mais plutôt pour écrire de belles phrases plutôt pertinentes.

Pour les maths pure c'est pas top

Mais de la a en conclure que c'est de la merde https://image.noelshack.com/fichiers/2017/39/3/1506524542-ruth-perplexev2.png

L'op qui a pas compris l'essence de chatgpt
Ta question à pas de sens aussi

Le 21 octobre 2023 à 19:39:54 :
ChatGPT n'est pas vraiment un outil fait pour calculer mais plutôt pour écrire de belles phrases plutôt pertinentes.

Il fait des jolies phrases qui risquent d'être fausses quoi https://image.noelshack.com/fichiers/2017/18/1494048058-pppppppppppppppppppp.png

l'op : "Mon ouvre-boîte n'arrive pas à ouvrir un carton, c'est quoi cette merde :rire: "
Les petits génies des math https://image.noelshack.com/fichiers/2016/49/1481221589-jesuszoom2.jpg

Le 21 octobre 2023 à 19:40:45 :
Ta question à pas de sens aussi

je veux juste faire ça mais ça fait des années que j'ai arrêté les maths j'ai tout oublié https://image.noelshack.com/fichiers/2023/42/6/1697910201-image.png

Le 21 octobre 2023 à 19:40:39 :
L'op qui a pas compris l'essence de chatgpt

Bah ça sert à quoi chat gpt du coup ?

Le 21 octobre 2023 à 19:43:14 :
l'op : "Mon ouvre-boîte n'arrive pas à ouvrir un carton, c'est quoi cette merde :rire: "
Les petits génies des math https://image.noelshack.com/fichiers/2016/49/1481221589-jesuszoom2.jpg

Faut juste savoir écrire le prompt qu'il faut pour arriver au résultat que tu cherches, utiliser les IA est un savoir-faire.
Normal c'est un générateur de langage, il tente juste de répondre un truc le plus cohérent possible.
Tu lui donnes des chiffres et une équation, il va te donner quelque chose qui ressemble à un résultat d'équation, mais le calcul sera sûrement faux

Le 21 octobre 2023 à 19:45:41 :
Normal c'est un générateur de langage, il tente juste de répondre un truc le plus cohérent possible.
Tu lui donnes des chiffres et une équation, il va te donner quelque chose qui ressemble à un résultat d'équation, mais le calcul sera sûrement faux

On est pas prêt de se faire gr par l'ia quoi

Le 21 octobre 2023 à 19:44:12 :

Le 21 octobre 2023 à 19:40:39 :
L'op qui a pas compris l'essence de chatgpt

Bah ça sert à quoi chat gpt du coup ?

Il fait de l'autocompletion hyper avancé. Il prédit le mot suivant qui a le plus de sens selon lui et ainsi de suite. C'est pour ça que pour les maths pure c'est pas top .

Mais vu que ça s'améliore de jour en jour, je doute pas que plusieurs ia combiné feront un jour le taf

Big october 2k23 et l'auteur n'a toujours pas compris la nature d'un LLM https://image.noelshack.com/fichiers/2016/32/1470920805-jesus15.png

Le 21 octobre 2023 à 19:48:31 :
Big october 2k23 et l'auteur n'a toujours pas compris la nature d'un LLM https://image.noelshack.com/fichiers/2016/32/1470920805-jesus15.png

Oui ça prédit les résultats en fonction des entrées, et donc ?

Le 21 octobre 2023 à 19:37:13 :
J'ai tenté de lui faire résoudre l'intégrale de 1 / (15 / 3*i). Il a jamais réussi à la résoudre ayaaa https://image.noelshack.com/fichiers/2021/04/4/1611841177-ahiahiahi.png

De rien l'OP: https://www.wolframalpha.com/input?i2d=true&i=Integrate%5BDivide%5B1%2CDivide%5B15%2C3i%5D%5D%2Ci%5D

Données du topic

Auteur
TitouanColossal
Date de création
21 octobre 2023 à 19:37:13
Nb. messages archivés
49
Nb. messages JVC
49
Voir le topic sur JVC

Afficher uniquement les messages de l'auteur du topic

En ligne sur JvArchive
JvArchive compagnon
Découvrez JvArchive compagnon, l'userscript combattant la censure abusive sur le 18-25 !