Le 13 juillet 2023 à 21:17:48 :
j'ai vu la vidéo ce matin
no fake l'épreuve est plus dure que certaines épreuves de maths du concours des prépas ECE
La france bordel, on se fait poutrer sur tous les classements 
Le 13 juillet 2023 à 21:19:05 :
C'est du troll ou c'est vraiment leur bac ? Source ?
C'est pas leur Bac, l'auteur ment
Le 13 juillet 2023 à 21:18:53 :
Fake au Maroc ils savent pas compter
Not ready, n'importe quel lycéen de n'importe quel pays du tiers monde a un meilleur niveau qu'un quoicoubeh français 

Le 13 juillet 2023 à 21:19:59 :
C'est nofake, les français choqués du niveau
C'est fake.
[21:19:30] <1m7322ans5>
Le 13 juillet 2023 à 21:19:05 :
C'est du troll ou c'est vraiment leur bac ? Source ?C'est pas leur Bac, l'auteur ment
Effectivement merci
Le vrai est classique
https://les-mathematiques.net/vanilla/uploads/editor/1u/6c6kuz2md20u.pdf
Le 13 juillet 2023 à 21:20:24 :
Sah l'immigration qui s'avère être une richesse
Btg ? Les marocains qui sortent du Lycée Lyautey ou Victor Hugo sont des bourgeois très studieux, rien à voir avec les émeutiers qu'on se tape 
Le 13 juillet 2023 à 21:21:09 :
[21:19:30] <1m7322ans5>
Le 13 juillet 2023 à 21:19:05 :
C'est du troll ou c'est vraiment leur bac ? Source ?C'est pas leur Bac, l'auteur ment
Effectivement merci
Le vrai est classique
https://les-mathematiques.net/vanilla/uploads/editor/1u/6c6kuz2md20u.pdf
C'est pas le sujet 2023 que j'ai posté
Le 13 juillet 2023 à 21:21:03 :
Le 13 juillet 2023 à 21:19:59 :
C'est nofake, les français choqués du niveauC'est fake.
Ce low qi qui n'en croit pas ses yeux ayaa 
Le 13 juillet 2023 à 21:22:16 :
Le 13 juillet 2023 à 21:21:03 :
Le 13 juillet 2023 à 21:19:59 :
C'est nofake, les français choqués du niveauC'est fake.
Ce low qi qui n'en croit pas ses yeux ayaa
Le 13 juillet 2023 à 21:22:16 :
Le 13 juillet 2023 à 21:21:03 :
Le 13 juillet 2023 à 21:19:59 :
C'est nofake, les français choqués du niveauC'est fake.
Ce low qi qui n'en croit pas ses yeux ayaa
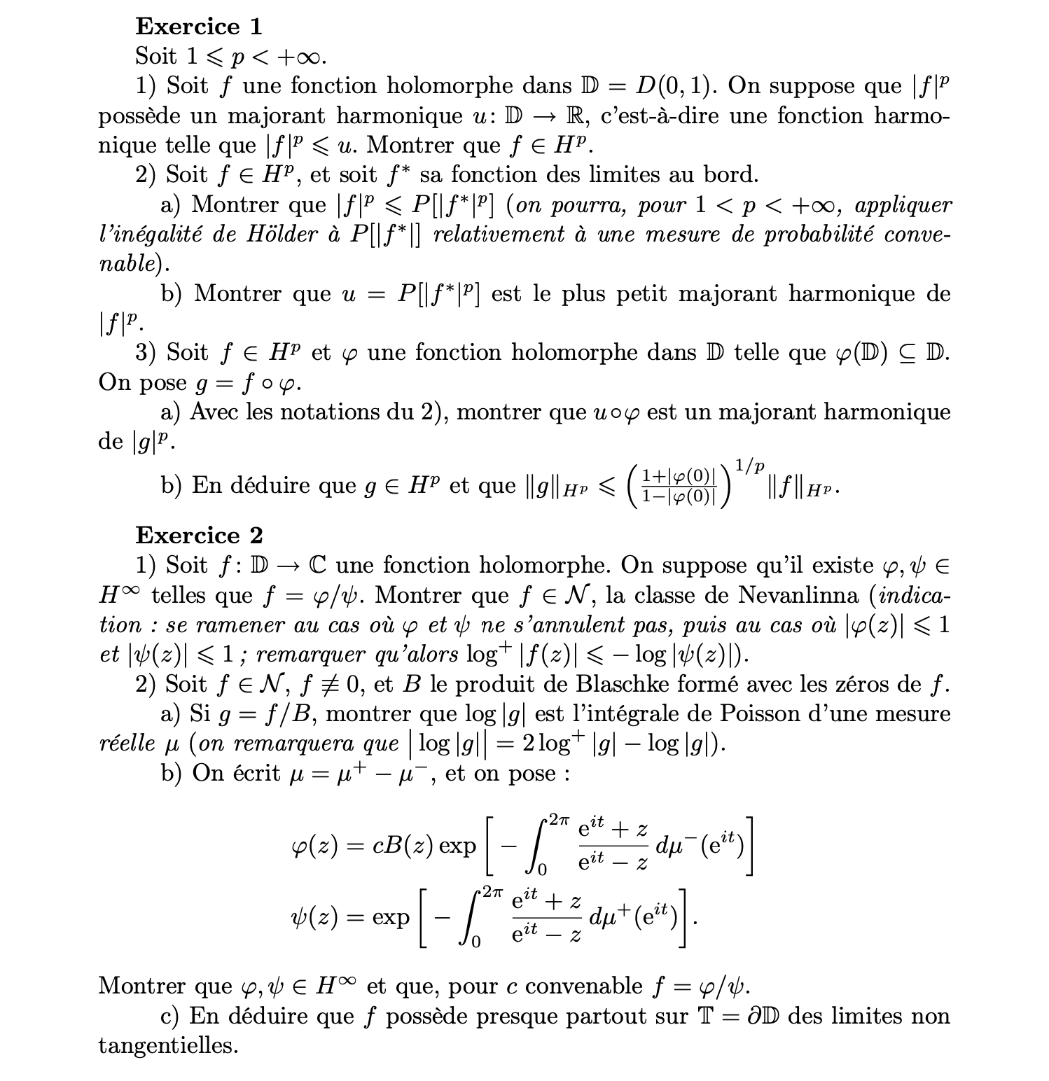
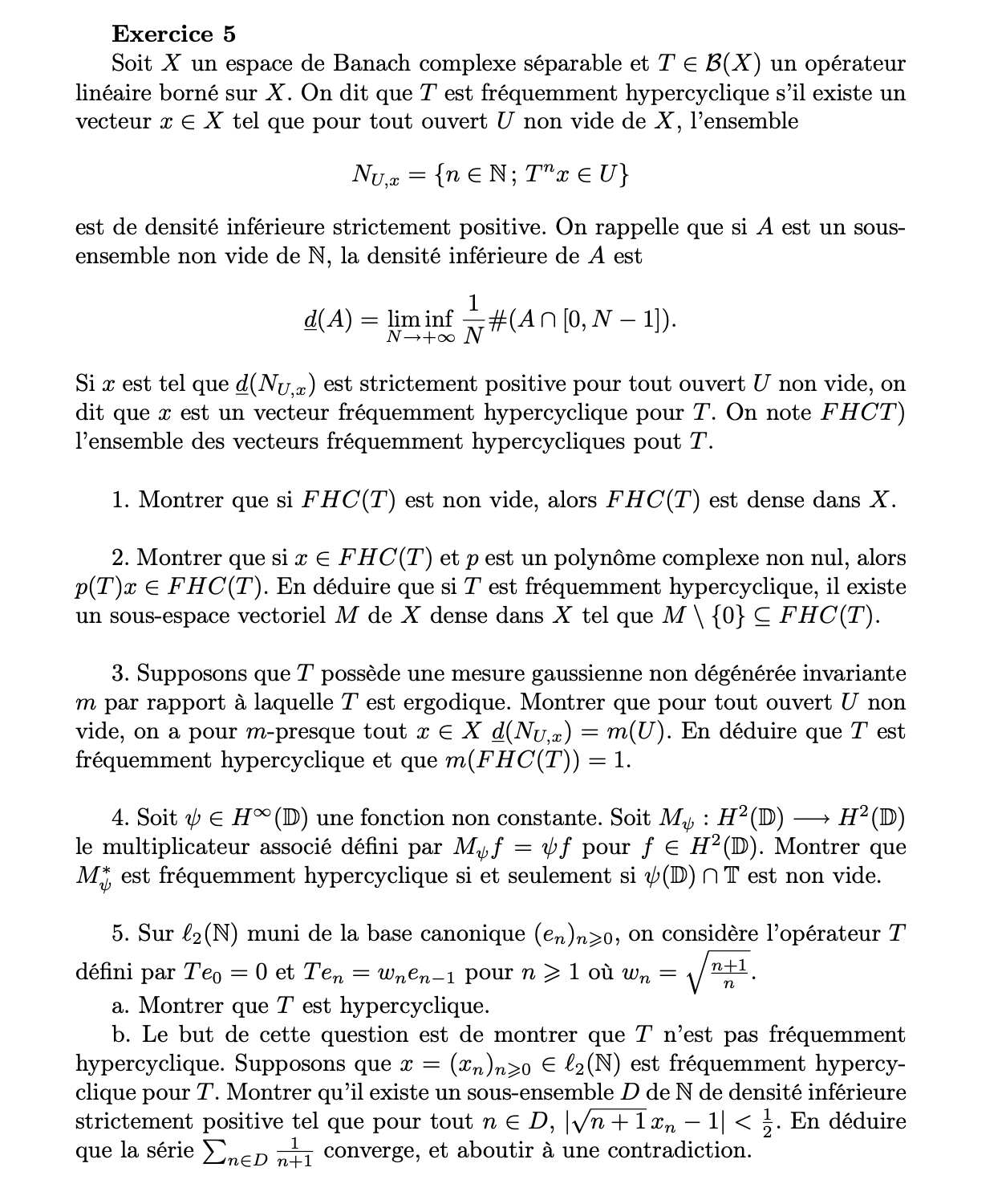
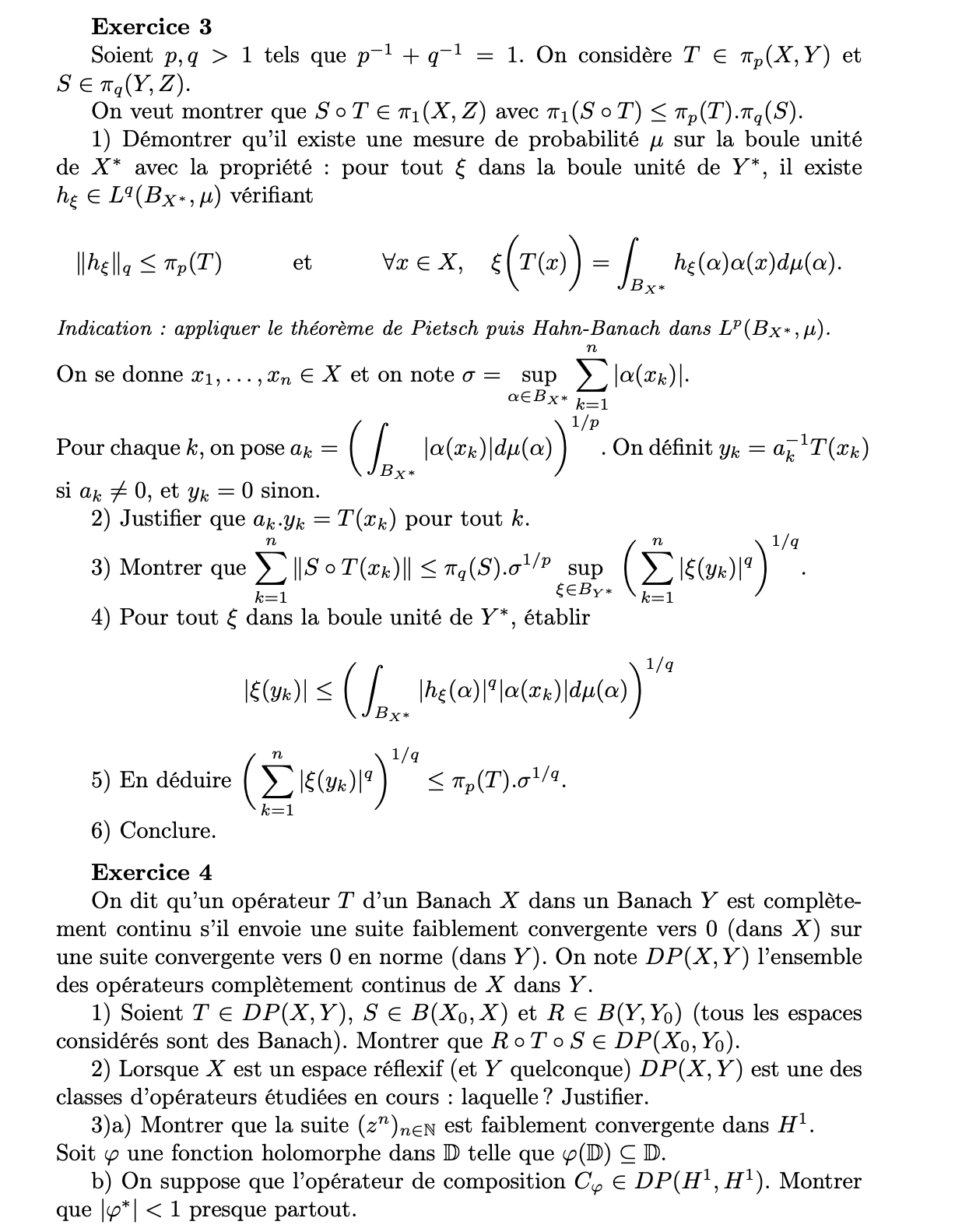
Tu feras croire à personne que les mesures de probabilité et que les opérateurs de Banach on les voit au Bac Célestin
Afficher uniquement les messages de l'auteur du topic