
Le 09 février 2023 à 21:46:40 :
Le 09 février 2023 à 21:44:29 :
Le 09 février 2023 à 21:29:52 :
Le 09 février 2023 à 21:29:26 :
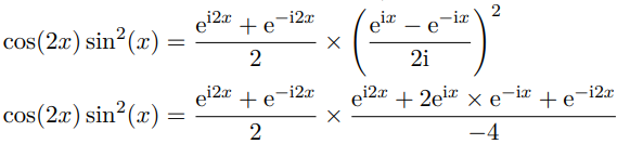
C’est les formules d’euler quoic'est pas faux c'est juste pas réduit
Exact my bad
En tout cas ça fait 2e^0 = 2
J’avais directement simplifié dans ma tête
Le 09 février 2023 à 21:49:48 :
Le 09 février 2023 à 21:46:40 :
Le 09 février 2023 à 21:44:29 :
Le 09 février 2023 à 21:29:52 :
Le 09 février 2023 à 21:29:26 :
C’est les formules d’euler quoic'est pas faux c'est juste pas réduit
Exact my bad
En tout cas ça fait 2e^0 = 2
J’avais directement simplifié dans ma tête
Oui c'est les puissances de cos et sin

Afficher uniquement les messages de l'auteur du topic