Salut les kheys,
Je me fais actuellement le programme de bac "s" en math pour pouvoir reprendre mes études l'an prochain et je coince sur un problème que je n'arrive pas à comprendre, bien que je ne penses pas que cela soit bien compliqué.
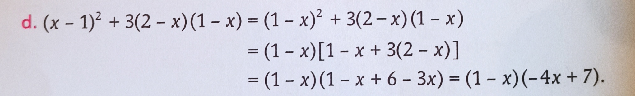
L'exo en question me demande de factoriser,chose que je sais normalement faire.
Hors ici la correction indique que (x-1)² deviens (1-x)² afin de pouvoir justement factoriser.
Je ne comprends pas comment on peut changer l'ordre de la soustraction (sans changer le résultat) alors que de base une soustraction n'est pas sensée être commutative.
Merci d'avance à vous
Pour passer de (x-1)² + 3(2-x)(1-x) à (1-x)² + 3(2-x)(1-x), on peut utiliser la propriété de commutativité de l'addition. Cela signifie que l'ordre des termes dans une somme n'a pas d'importance et que les termes peuvent être permutés sans changer la valeur de la somme.
On peut donc permuter les termes (x-1)² et (1-x)² dans l'expression (x-1)² + 3(2-x)(1-x) pour obtenir (1-x)² + 3(2-x)(1-x).
Le 08 décembre 2022 à 12:29:59 :
Tu prends les cours par correspondance l’op ?
Non j'utilise des bouquins,je suis reparti depuis le collège parce que de base j'ai fais un bac pro il y'a longtemps et que je délaissais les math quand j'étais plus jeune.
J'utilise pas mal youtube aussi (Yvan Monka en particulier)quand je comprends pas certaines notions.
Le 08 décembre 2022 à 12:30:21 :
(a-b)²=(b-a)² . Si tu développes, tu verras que l'ordre n'a pas d'importance.
Comme dit par un VDD, en multipliant par -1 à l'intérieur, ça revient à multiplier par 1 hors du carré.
C'est ce que je viens de tester effectivement.Du coups on peut se permettre de permuter que si l'expression est au carré ?
Le 08 décembre 2022 à 12:33:35 :
Le 08 décembre 2022 à 12:30:21 :
(a-b)²=(b-a)² . Si tu développes, tu verras que l'ordre n'a pas d'importance.
Comme dit par un VDD, en multipliant par -1 à l'intérieur, ça revient à multiplier par 1 hors du carré.C'est ce que je viens de tester effectivement.Du coups on peut se permettre de permuter que si l'expression est au carré ?
Non ça marche avec n'importe quel exposant n pair : 2, 4, 6... L'important c'est que (-1)^n = 1.
Le 08 décembre 2022 à 12:35:53 :
Le 08 décembre 2022 à 12:33:35 :
Le 08 décembre 2022 à 12:30:21 :
(a-b)²=(b-a)² . Si tu développes, tu verras que l'ordre n'a pas d'importance.
Comme dit par un VDD, en multipliant par -1 à l'intérieur, ça revient à multiplier par 1 hors du carré.C'est ce que je viens de tester effectivement.Du coups on peut se permettre de permuter que si l'expression est au carré ?
Non ça marche avec n'importe quel exposant n pair : 2, 4, 6... L'important c'est que (-1)^n = 1.
Ok je vois merci beaucoup kheyou 
bon courage op, je te conseille les manuels de lelivrescolaire, c'est les meilleurs et les plus reconnus. Perso j'ai fait tout le programme de lycée avec ça.
j'ai les corrigés si tu veux difficiles à trouver, c'est un prof qui me les as donnés).
Afficher uniquement les messages de l'auteur du topic