Salut les khey
Je suis en train de réviser mes partiels sauf que j'ai un problème
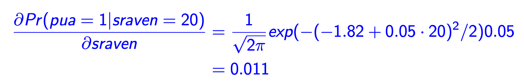
Dans le cours il est écrit :
Pourtant quand je retape à la calculette je trouve :
La page d'au dessus ça ressemble à ça pour ceux qui veulent être sûr que j'ai bien tapé le calcul :
Je comprends pas d'ou vient l'erreur.
Y'a même pas à comprendre de quoi il s'agit, simplement retaper le calcul du haut et retomber sur 0.011
Je donne 5€ paypal au premier qui me poste un screen ou il arrive à remonter sur le résultat du prof 
Le site ou j'ai tapé les calculs : https://www.desmos.com/scientific?lang=fr (vous pouvez prendre un autre)
