Le 02 juillet 2021 à 01:36:06 :
Le 02 juillet 2021 à 01:33:31 :
![]()
Jvois pas ce que ça change
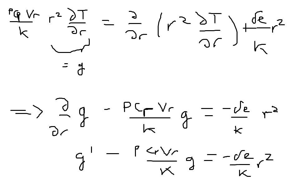
attention quand t'intègres faut mettre le r² dans l'intégrale aya
![]()
Mais du coup la t'a transforme une ed du 2eme ordre en 1er ordre juste avec un changement de variable j'ai le droit ?
Bordel je me souviens de plus rien de mon cours
Ca implique pas des changement de bornes ou de fonctions ou je sais pas quoi ?
Le 02 juillet 2021 à 01:41:32 :
Le 02 juillet 2021 à 01:36:06 :
Le 02 juillet 2021 à 01:33:31 :
![]()
Jvois pas ce que ça change
attention quand t'intègres faut mettre le r² dans l'intégrale aya
![]()
Mais du coup la t'a transforme une ed du 2eme ordre en 1er ordre juste avec un changement de variable j'ai le droit ?
Bordel je me souviens de plus rien de mon cours
Ca implique pas des changement de bornes ou de fonctions ou je sais pas quoi ?
t'as rien changé du tout au calcul, y'a pas de changement de variable
c'est pas un théorème juste une astuce de calcul
juste tu fais en deux étapes, d'abord tu trouves g et après comme r² dT/dr = g , dT/dr = g/r² et tu intègres
Le 02 juillet 2021 à 01:44:38 :
tu fais quel cursus?
Ingenierie chimique
Le 02 juillet 2021 à 01:46:18 :
vraiment une putain de boucle ces topics
j'ai rien dit, je pensais que c'était encore un topic de merde où le résultat est poste ou cancer 
Le 02 juillet 2021 à 01:52:50 :
Le 02 juillet 2021 à 01:46:18 :
vraiment une putain de boucle ces topicsj'ai rien dit, je pensais que c'était encore un topic de merde où le résultat est poste ou cancer
Fallait depasser la 3eme 
Le 02 juillet 2021 à 01:54:42 :
Le 02 juillet 2021 à 01:52:50 :
Le 02 juillet 2021 à 01:46:18 :
vraiment une putain de boucle ces topicsj'ai rien dit, je pensais que c'était encore un topic de merde où le résultat est poste ou cancer
Fallait depasser la 3eme
bon mongolin dois-je te rappeler que tu sais pas résoudre une équa diff du premier ordre ?
Le 02 juillet 2021 à 01:56:17 :
Le 02 juillet 2021 à 01:54:42 :
Le 02 juillet 2021 à 01:52:50 :
Le 02 juillet 2021 à 01:46:18 :
vraiment une putain de boucle ces topicsj'ai rien dit, je pensais que c'était encore un topic de merde où le résultat est poste ou cancer
Fallait depasser la 3eme
bon mongolin dois-je te rappeler que tu sais pas résoudre une équa diff du premier ordre ?
J'ai appris ca il y a 3 ans, tu crois que je suis un pnj a apprendre toutes mes formules par coeur ?
Le 02 juillet 2021 à 01:58:52 :
Le 02 juillet 2021 à 01:56:17 :
Le 02 juillet 2021 à 01:54:42 :
Le 02 juillet 2021 à 01:52:50 :
Le 02 juillet 2021 à 01:46:18 :
vraiment une putain de boucle ces topicsj'ai rien dit, je pensais que c'était encore un topic de merde où le résultat est poste ou cancer
Fallait depasser la 3eme
bon mongolin dois-je te rappeler que tu sais pas résoudre une équa diff du premier ordre ?
J'ai appris ca il y a 3 ans, tu crois que je suis un pnj a apprendre toutes mes formules par coeur ?
![]()
visiblement t'as pas tout retenu
t'es pas censé oublier tes études après 3 ans 
Le 02 juillet 2021 à 02:05:23 :
Le 02 juillet 2021 à 01:58:52 :
Le 02 juillet 2021 à 01:56:17 :
Le 02 juillet 2021 à 01:54:42 :
Le 02 juillet 2021 à 01:52:50 :
Le 02 juillet 2021 à 01:46:18 :
vraiment une putain de boucle ces topicsj'ai rien dit, je pensais que c'était encore un topic de merde où le résultat est poste ou cancer
Fallait depasser la 3eme
bon mongolin dois-je te rappeler que tu sais pas résoudre une équa diff du premier ordre ?
J'ai appris ca il y a 3 ans, tu crois que je suis un pnj a apprendre toutes mes formules par coeur ?
![]()
visiblement t'as pas tout retenu
t'es pas censé oublier tes études après 3 ans
C'est la vie 
Afficher uniquement les messages de l'auteur du topic