Le 24 mars 2021 à 17:20:19 boboleventilo a écrit :
Tu passes le-40pi de l'autre côté
Puis tu divise tout par-10pi, donc t'as x^2(1-...)=4
Tu développés la parenthèse
Tu passes le 4 de l'autre côté, et la t'as un polynôme du second degré
Donc tu calcul le discriminant (b^2-4ac)PS : go 15-18
Ca donne un trinôme : (x²-(x^3/6)) 




Le 24 mars 2021 à 17:51:28 Yadeee-o a écrit :
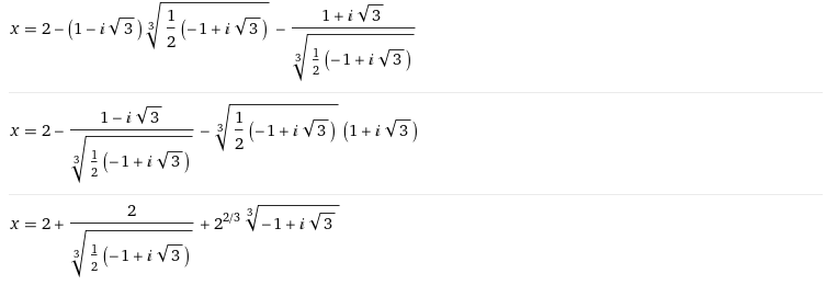
C'est un polynôme du troisième degré donc t'utilise les méthodes pour le résoudre même si c'est chiant
Ca va être galère je l'ai jamais appris 
bornée sur quelle intervalle ?
Tu poses f(x)=10pi*x^2-5pi/3*x^3-40pi
tu dérives : f'(x)= 20pi*x-5pi*x^2
Tu cherches les racines de f'(x) ensuite. Tu dresses le tableau de variation et ensuite avec le théorème des valeurs intermédiaires, tu peux dire qu'il existe des solutions à cette équation. Tu peux essayer enfin de trouver la solution par approximation.
Le 24 mars 2021 à 17:59:35 Cetasser53 a écrit :
bornée sur quelle intervalle ?
Tu poses f(x)=10pi*x^2-5pi/3*x^3-40pitu dérives : f'(x)= 20pi*x-5pi*x^2
Tu cherches les racines de f'(x) ensuite. Tu dresses le tableau de variation et ensuite avec le théorème des valeurs intermédiaires, tu peux dire qu'il existe des solutions à cette équation. Tu peux essayer enfin de trouver la solution ou les solutions par approximation.
Le truc c'est que j'ai pas vu tout çamais je vais quand même checker, merci 
Le 24 mars 2021 à 18:07:29 OklM56 a écrit :
Le 24 mars 2021 à 17:59:35 Cetasser53 a écrit :
bornée sur quelle intervalle ?
Tu poses f(x)=10pi*x^2-5pi/3*x^3-40pitu dérives : f'(x)= 20pi*x-5pi*x^2
Tu cherches les racines de f'(x) ensuite. Tu dresses le tableau de variation et ensuite avec le théorème des valeurs intermédiaires, tu peux dire qu'il existe des solutions à cette équation. Tu peux essayer enfin de trouver la solution ou les solutions par approximation.
Le truc c'est que j'ai pas vu tout çamais je vais quand même checker, merci
mais tu es en quelle classe ?



Afficher uniquement les messages de l'auteur du topic