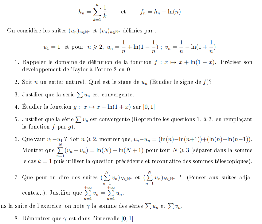
Le 19 mars 2021 à 18:53:11 Poke500 a écrit :
Le 19 mars 2021 à 18:50:02 Fion2Wakandais5 a écrit :
On t'as demandé les DL à l'ordre 2 à la première question, c'est peut-être le moment de s'en servir 
je m'en suis déjà déjà servi avant 
Ha ! En regardant les questions il m'avait pas semblé qu'il fallait s'en servir. Mais tu peux t'en servir de nouveau maintenant je pense, et essaye de regarder 2*gamma = u(n) + v(n)