Topic de Jean-Spoderman :

Problème de maths

Ca veut rien dire tu as trouvé m = 0
Ce n'est pas l'énoncé
C'est x=... Que tu devrais trouver
Bordel quelle galère :(
PrepaMaths tu me conseilles d'utiliser quelle méthode pour réussir l'exercice ? Celle du pivot de Gausse ou une autre ? :(

Ta reponse doit etre un truc du genre

Si m = ... alors le systeme admet ... solutions
Si m = ... alors ...

Etc

Tu dois le résoudre pour TOUTES les valeurs de m.
Enfin ici on ne te demande que le nombre de solutions, pas de les expliciter... Cela revient à trouver le rang de la matrice du système, et pour ça tu peux l'échelonner par exemple avec la méthode du pivot de gauss.

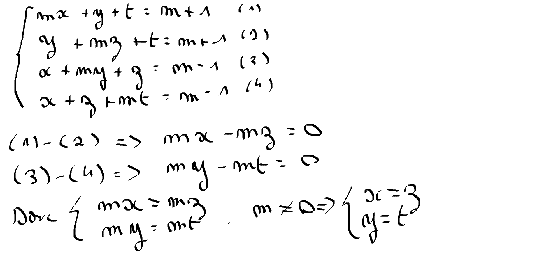
Du coup avec m = 0 ca me donne là :

y + t = 1
x + z = -1

Le 24 décembre 2020 à 19:34:45 Jean-Spoderman a écrit :
Du coup avec m = 0 ca me donne là :

y + t = 1
x + z = -1

4 variables et 2 équations à priori tu as une infinité de solutions :hap:
De toute façon tu as que 3 cas possibles :
- 0 solutions
- 1 solution
- une infinité de solution

https://image.noelshack.com/fichiers/2020/52/4/1608835406-binbinbinks.png

voilà après tu déroules.. c'est dur qu'en apparence

Niquel merci khey, mais dans ce cas là c’est sur que m est différent de 0 ? :(

En tout cas merci de votre aide les gars ca fait plaisir :ok:

les maths c'est la vie craie
Ouais c’est clair clé, moi c’est un peu mon talon d’Achille cette matière :hap:
T’entends quoi par « dérouler » clé ? (Unter) :hap:
Up déso d’être brise burnes les clés :hap:
Envoie moi un MP si t'es toujours bloqué demain après-midi je trouverais 5min pour te le faire :noel:
Tu dois résoudre le système pour m=/=0 et m=0.
Après c'est une résolution classique de système :ok:
Ca ne m'a pas l'air très compliqué pourtant.

Données du topic

Auteur
Jean-Spoderman
Date de création
24 décembre 2020 à 18:23:04
Nb. messages archivés
38
Nb. messages JVC
38
Voir le topic sur JVC

Afficher uniquement les messages de l'auteur du topic

En ligne sur JvArchive
JvArchive compagnon
Découvrez JvArchive compagnon, l'userscript combattant la censure abusive sur le 18-25 !